Traversal is a common operation performed on data structures. It is the process in which each and every element present in a data structure is "visited" (or accessed) at least once. This may be done to display all of the elements or to perform an operation on all of the elements.
For example, to traverse a singly-linked list, we start with the first (front) node in the list and proceed forward through the list by following the next pointer stored in each node until we reach the
end of the list (signified by a next pointer with the special value nullptr). A doubly-linked list can also be traversed in reverse order, starting at the last (back) node in the list
and proceeding backwards down the list by following the prev pointer stored in each node, stopping when we reach the beginning of the list (signified by a prev pointer with the special
value nullptr). Arrays can likewise easily be traversed either forward or backward, simply by starting with either the first or last element and then incrementing or decrementing a subscript or pointer
to the array element.
On the other hand, binary trees can be traversed in multiple ways. These notes describe four different traversals: preorder, inorder, postorder, and level order.
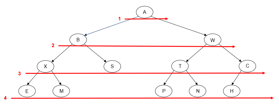
This is a handy trick for figuring out by hand the order in which a binary tree's nodes will be "visited" for the preorder, inorder, and postorder traversals.

The point at which the path you've drawn around the binary tree intersects the tick mark is the point at which that node will be "visited" during the traversal.
In a preorder traversal of a binary tree, we "visit" a node and then traverse both of its subtrees. Usually, we traverse the node's left subtree first and then traverse the node's right subtree.
Here's an example of a left-to-right preorder traversal of a binary tree:

Printing the value of each node as we "visit" it, we get the following output:
A B X E M S W T P N C H
Alternatively, we can perform a preorder traversal from right-to-left instead of left-to-right. This is done by traversing the node's right subtree before we traverse its left subtree.

Printing the value of each node as we "visit" it, we get the following output:
A W C H T N P B S X M E
Note that the left-to-right preorder traversal and the right-to-left preorder traversal are not mirror images of each other.
Recursive Preorder Traversal Pseudocode
Given the recursive nature of binary trees (each subtree is itself a binary tree), it's very easy to write preorder traversal as a recursive algorithm. The base case for the recursion occurs when the tree (or subtree)
we are attempting to traverse is empty (i.e., the node pointer is nullptr).
procedure preorder(p : pointer to a tree node)
if p != nullptr
Visit the node pointed to by p
preorder(p->left)
preorder(p->right)
end if
end procedureOn the initial call to the preorder() procedure, we pass it the root of the binary tree. To convert the pseudocode above to a right-to-left traversal, just swap left and
right so that the right subtree is traversed before the left subtree.
Iterative Preorder Traversal Pseudocode
Preorder traversal can also be performed using a non-recursive or iterative algorithm. In order to backtrack up the tree from a node to its parent, we use a stack.
procedure iterative_preorder()
// root : pointer to the root node of the tree (nullptr if tree is empty)
// p : pointer to a tree node
// s : a stack of pointers to tree nodes
// Start at the root of the tree.
p ← root
// While p is not nullptr or the stack is not empty...
while p != nullptr or s is not empty
// Go all the way to the left.
while p != nullptr
Visit the node pointed to by p
// Place a pointer to the node on the stack before
// traversing the node's left subtree.
s.push(p)
p ← p->left
end while
// p must be nullptr at this point, so backtrack one level.
p ← s.top()
s.pop()
// We have visited the node and its left subtree, so
// now we traverse the node's right subtree.
p ← p->right
end while
end procedureIn an inorder traversal of a binary tree, we traverse one subtree of a node, then "visit" the node, and then traverse its other subtree. Usually, we traverse the node's left subtree first and then traverse the node's right subtree.
Here's an example of a left-to-right inorder traversal of a binary tree:

Printing the value of each node as we "visit" it, we get the following output:
E X M B S A P T N W H C
Alternatively, we can perform an inorder traversal from right-to-left instead of left-to-right. This is done by traversing the node's right subtree before we traverse its left subtree.

Printing the value of each node as we "visit" it, we get the following output:
C H W N T P A S B M X E
Note that the left-to-right inorder traversal and the right-to-left inorder traversal are mirror images of each other.
Recursive Inorder Traversal Pseudocode
Pseudocode for a recursive inorder traversal is a minor variation of the pseudocode for the recursive preorder traversal:
procedure inorder(p : pointer to a tree node)
if p != nullptr
inorder(p->left)
Visit the node pointed to by p
inorder(p->right)
end if
end procedureIterative Inorder Traversal Pseudocode
Inorder traversal can also be performed using a non-recursive or iterative algorithm, in a fashion very similar to the iterative preorder traversal.
procedure iterative_inorder()
// root : pointer to the root node of the tree (nullptr if tree is empty)
// p : pointer to a tree node
// s : a stack of pointers to tree nodes
// Start at the root of the tree.
p ← root
// While p is not nullptr or the stack is not empty...
while p != nullptr or s is not empty
// Go all the way to the left.
while p != nullptr
// Place a pointer to the node on the stack before
// traversing the node's left subtree.
s.push(p)
p ← p->left
end while
// p must be nullptr at this point, so backtrack one level.
p ← s.top()
s.pop()
// We have visited this node's left subtree, so now we
// visit the node.
Visit the node pointed to by p
// We have visited the node and its left subtree, so
// now we traverse the node's right subtree.
p ← p->right
end while
end procedureIn a postorder traversal of a binary tree, we traverse both subtrees of a node, then "visit" the node. Usually we traverse the node's left subtree first and then traverse the node's right subtree.
Here's an example of a left-to-right postorder traversal of a binary tree:

Printing the value of each node as we "visit" it, we get the following output:
E M X S B P N T H C W A
Alternatively, we can perform a postorder traversal from right-to-left instead of left-to-right. Once again, this is done by traversing the node's right subtree before we traverse its left subtree.

Printing the value of each node as we "visit" it, we get the following output:
H C N P T W S M E X B A
Note that the left-to-right postorder traversal and the right-to-left postorder traversal are not mirror images of each other. However, we can now see that the left-to-right postorder traversal is a mirror image of the right-to-left preorder traversal, while the right-to-left postorder traversal is a mirror image of the left-to-right preorder traversal.
Recursive Postorder Traversal Pseudocode
Once again, pseudocode for a recursive inorder traversal is just a minor variation of the pseudocode for the recursive preorder and inorder traversals:
procedure postorder(p : pointer to a tree node)
if p != nullptr
postorder(p >left)
postorder(p->right)
Visit the node pointed to by p
end if
end procedureIterative Postorder Traversal Pseudocode
Postorder traversal can also be performed using a non-recursive or iterative algorithm. This is a trickier algorithm to write than the iterative preorder or inorder traversals, since we will need to backtrack from a node to its parent twice. Some sources solve this problem (poorly, in my opinion) by using two different stacks. Donald Knuth's The Art of Computer Programming has a more efficient version of the algorithm that maintains an extra pointer to the node that was last visited and uses it to distinguish between backtracking to a node after traversing its left subtree versus backtracking to a node after traversing its right subtree.
procedure iterative_postorder()
// root : pointer to the root node of the tree (nullptr if tree is empty)
// p : pointer to a tree node
// last_visited : pointer to the last tree node visited
// s : a stack of pointers to tree nodes
// Start at the root of the tree.
last_visited ← nullptr
p ← root
while p != nullptr and last_visited != root
// Go all the way to the left.
while p != nullptr and p != last_visited
// Place a pointer to the node on the stack before
// traversing the node's left subtree.
s.push(p)
p ← p->left
end while
// p must be nullptr at this point, so backtrack one
// level.
p ← s.top()
s.pop()
// If this node has no right child or we've already traversed
// its right subtree...
if p->right == nullptr or p->right == last_visited
Visit the node pointed to by p
// Mark this node as the last visited.
last_visited ← p
else
// Otherwise, traverse the node's right subtree.
s.push(p)
p ← p->right
end if
end while
end procedureIn a level order traversal of a binary tree, we traverse all of the tree nodes on level 0, then all of the nodes on level 1, etc. The "tick trick" does not work for this traversal, but there's no real need for it, since the order the nodes will be traversed is easy to determine by hand.
Here's an example of a left-to-right level order traversal of a binary tree:

Printing the value of each node as we "visit" it, we get the following output:
A B W X S T C E M P N H
Alternatively, we can perform a level order traversal from right-to-left instead of left-to-right.

Printing the value of each node as we "visit" it, we get the following output:
A W B C T S X H N P M E
Iterative Level Order Traversal Pseudocode
Level order traversal can be performed using a non-recursive or iterative algorithm. As a given level is traversed, a queue is used to store pointers to the nodes on the next level.
procedure iterative_level_order()
// root : pointer to the root node of the tree (nullptr if tree is empty)
// p : pointer to a tree node
// q : a queue of pointers to tree nodes
// If tree is empty, return.
if root == nullptr
return
end if
q.push(root)
while q is not empty
// Remove front item in the queue and visit it.
p ← q.front()
q.pop()
Visit the node pointed to by p
// Insert left child of p into queue.
if p->left != nullptr
q.push(p->left)
end if
// Insert right child of p into queue.
if p->right != nullptr
q.push(p->right)
end if
end while
end procedureRecursive Level Order Traversal Pseudocode
Level order traversal can also be written as a recursive algorithm; here's one example of a solution:
procedure level_order()
// root : pointer to the root node of the tree (nullptr if tree is empty)
// h : computed height of the tree (i.e., number of levels
// i : loop counter
h ← height(root);
i ← 1
while i <= h
print_level(root, i)
i ← i + 1
end while
end procedure
procedure print_level(p : pointer to a tree node, level : level number)
if p == nullptr
return
if level == 1
Visit the node pointed to by p
else if level > 1
print_level(p->left, level-1)
print_level(p->right, level-1)
end if
end procedure
procedure height(p : pointer to a tree node)
// l_height : computed height of node's left subtree
// r_height : computed height of node's right subtree
if p == nullptr
return 0
end if
l_height ← height(p->left)
r_height ← height(p->right)
if l_height > r_height
return l_height + 1
else
return r_height + 1
end if
end procedure